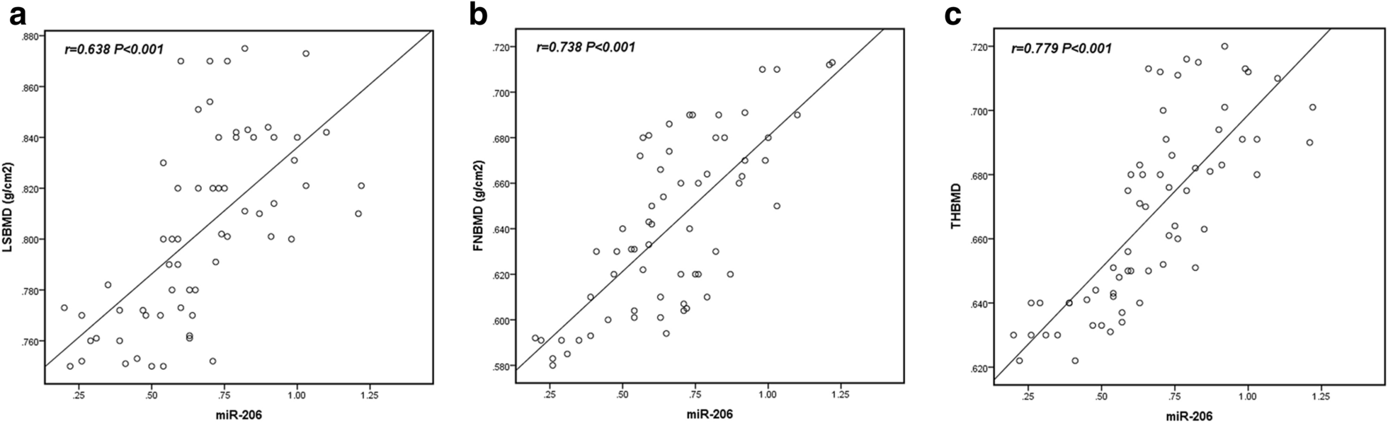
Fig. 2
From: MiR-206 regulates the progression of osteoporosis via targeting HDAC4

The correlation of serum miR-206 level with LSBMD (a), FNBMD (b) and THBMD (c) in OP patient group. Serum miR-206 levels were positively correlated with LSBMD (r = 0.638, P < 0.001), FNBMD (r = 0.738, P < 0.001), and THBMD (r = 0.779, P < 0.001) in OP patients